45SSR-PF саморегулирующийся греющий кабель
Арт. 45SSR-PF
Рассчитать доставку
Гарантия 5 лет
Характеристики
Производитель
:
Alfa
Вид обогрева
:
Промышленный
Страна производитель
:
Китай
Экранированный кабель
:
Да
Описание
Саморегулирующийся греющий кабель 45SSR-PF
Подробности
Цена действительна только для интернет-магазина и может отличаться от цен в розничных магазинах
Саморегулирующийся греющий кабель SSR — это универсальное решение для систем обогрева и поддержания температуры в самых разных условиях. Состоит из полупроводниковой нагревательной матрицы, расположенной между двумя параллельными токопроводящими жилами. Автоматически регулирует уровень нагрева, реагируя на изменения температуры по всей своей длине. Кабель не перегревается и не перегорает, даже при самопересечении. Может быть отрезан любой длины без потери эффективности.


Конструкция

- Внешняя оболочка: Фторполимер, полиолефин или термопластик.
- Металлическая оплетка.
- Внутренняя изоляция: Модифицированный полиолефин или фторполимер.
- PTC-матрица.
- Токоведущие луженые медные жилы.
Варианты исполнения

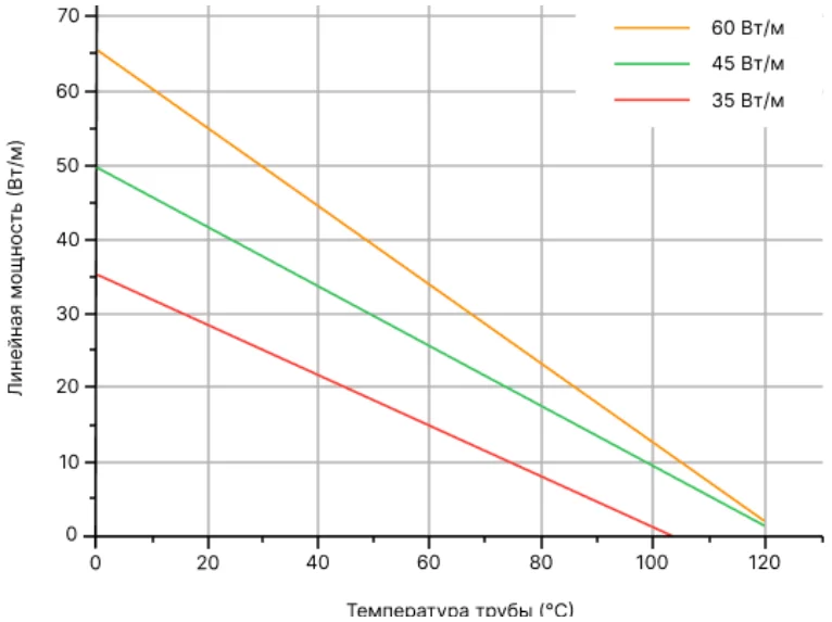
Температурные характеристики
Номинальное тепловыделение в нормированных условиях для саморегулирующихся нагревательных кабелей.
Область применения
Кабель SSR предназначен для обогрева промышленных трубопроводов. Идеально подходит для поддержания температуры и защиты от замерзания трубопроводов большого диаметра, резервуаров, клапанов, фланцев и других объектов с высокими теплопотерями.
Загрузка отзывов...
Производитель
Alfa
Вид обогрева
Промышленный
Страна производитель
Китай
Вес (грамм):
0
Экранированный кабель
Да
Минимальная температура монтажа, °С
-60
Температурная группа взрывоопасной зоны
Т4
Длина кабеля, м
1
Максимальная рабочая температура, °С
110
Напряжение питания, В
110-120, 220-240
Максимальная мощность, Вт/м
45
Маркировка взрывозащиты
1Ex e IIC T4 Gb X, Ex tb IIIC T135°C Db X
Материал экрана (оплетка)
металлическая оплетка
Мощность, Вт
45
Мощность, Вт
45
Максимальная допустимая температура (периодическая работа), °С
135
Максимальная допустимая температура (периодическая работа), °С
135
Оплачивайте покупки удобным способом. В интернет-магазине доступно 3 варианта оплаты:
- Наличные при самовывозе или доставке курьером. Специалист свяжется с вами в день доставки, чтобы уточнить время и заранее подготовить сдачу с любой купюры. Вы подписываете товаросопроводительные документы, вносите денежные средства, получаете товар и чек.
- Безналичный расчет при самовывозе или оформлении в интернет-магазине: карты МИР, Visa и MasterCard. Чтобы оплатить покупку, система перенаправит вас на сервер системы ASSIST. Здесь нужно ввести номер карты, срок действия и имя держателя.
- ЮMoney при онлайн-заказе. Для совершения покупки система перенаправит вас на страницу платежного сервиса. Здесь необходимо заполнить форму по инструкции.
Экономьте время на получении заказа. В интернет-магазине доступно 4 варианта доставки:
- Курьерская доставка работает с 9.00 до 19.00. Когда товар поступит на склад, курьерская служба свяжется для уточнения деталей. Специалист предложит выбрать удобное время доставки и уточнит адрес. Осмотрите упаковку на целостность и соответствие указанной комплектации.
- Самовывоз из магазина. Список торговых точек для выбора появится в корзине. Когда заказ поступит на склад, вам придет уведомление. Для получения заказа обратитесь к сотруднику в кассовой зоне и назовите номер.
- Постамат. Когда заказ поступит на точку, на ваш телефон или e-mail придет уникальный код. Заказ нужно оплатить в терминале постамата. Срок хранения — 3 дня.
- Почтовая доставка через почту России. Когда заказ придет в отделение, на ваш адрес придет извещение о посылке. Перед оплатой вы можете оценить состояние коробки: вес, целостность. Вскрывать коробку самостоятельно вы можете только после оплаты заказа. Один заказ может содержать не больше 10 позиций и его стоимость не должна превышать 100 000 р.
